

上海求德生物化工有限公司
联系人: 李华电话: 021-37285021,37285029
手机: 13761558027
传真: 021-51714507
邮箱: webmaster@qiude.com
地址: 上海精细化工产业园区秋实路688号
69901-75-3|CBZ-L-环己基甘氨酸|CBZ-L-Cyclohexylglycine|CBZ-L-Chg-OH
CAS 号:69901-75-3
用途:药物中间体。
简介:产品名称ProductName:CBZ-L-环己基甘氨酸CBZ-L-Cyclohexylglycine;CBZ-L-Chg-OHCas#:69901-75-3分子式MF:C16H21NO4分子量MW:
14328-63-3|L-环己基甘氨酸甲酯盐酸盐|L-Chg-OMe-HCL
CAS 号:14328-63-3
用途:医药中间体。
简介:L-环己基甘氨酸甲酯盐酸盐CAS#:14328-63-3L-CyclohexylglycineMethylEsterHydrochlorideD-环己基甘氨酸甲酯盐酸盐D-Cyclohexylglyc
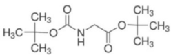
BOC-甘氨酸叔丁酯|111652-20-1
CAS 号:111652-20-1
用途:医药中间体
简介:产品名称:N-BOC-甘氨酸叔丁酯英文名称:N-BOC-Gly-OtBu;BOC-GLYCINETERT-BUTYLESTERCAS#:111652-20-1分子式:(CH3)3COC(O)NHCH2









